来源:黑料网 发布时间:2023-02-10 浏览量:
声子是一类固体中的元激发,通过原子之间相互作用,产生粒子的集体运动,表现出不同的波动形式。声子是波色子,服从波色—爱因斯坦统计分布规律。作为一种准粒子,声子可以与固体中诸多准粒子发生相互作用,与之相关的现象蕴含着丰富的物理内涵。固体中大多数宏观性质与这些相互作用紧密关联。比如在低温超导体中,晶格振动使得具有相反自旋的电子产生吸引作用,进而产生自旋为零的库柏对,在极低温下,宏观数量的库柏对凝聚到单一量子态,致使超导体可以无阻地传输电流。在固体中电输运性质也与电子—声子相互作用紧密相关,因电子在传输过程中,会受到声子的散射作用。在半导体或绝缘体中,声子—声子非谐相互作用导致热阻,体系的热导率就决定于这种非谐相互作用的强度。在能源如光伏、热电器件和微(纳)电子器件中,热传输和耗散往往决定器件性能。而深刻认清材料中与声子相关的输运机理,建立从材料结构到电、热输运的物理图像,可为材料性能调控和优化提供理论指导,具有重要的科学价值和实用意义。
铜基类金刚石结构化合物是一类在热电领域广受关注的材料,因其具有低热导率和较高空穴迁移率,有望成为具有“声子玻璃-电子晶体”特性的热电材料。对于铜基类金刚石结构化合物Cu2GeSe3,2011年,Cho等人发表了对Cu2GeSe3热输运方面的实验研究,他们测量了Cu2GeSe3的热容、体弹模量和热膨胀系数,发现其具有较大的Grüneisen常数γ (~1.7) (Cho et al. Phys. Rev. B, 2011, 84, 085207)。较大的γ意味着体系原子之间具有较强的非谐相互作用,从而导致材料的低晶格热导率。
邵和助课题组前期对Cu2GeSe3材料的热输运问题进行了系列研究。2015年他们对Cu2GeSe3进行了基于第一性原理计算的声子输运研究,计算显示在300 K下,Cu2GeSe3的Grüneisen常数仅为1.1左右(Shao et al. Europhys. Lett. 2015, 109, 47004),表明Cu2GeSe3体系并不具有非常强的非谐性。2016年他们进一步计算和分析了该体系的弹性性质(Shao et al. Europhys. Lett. 2016, 113, 26001),结合对其电子结构和电荷密度的分析,推测Cu2GeSe3中Cu-Se成较弱的共价键导致其具有较低的热导率。2016年他们基于第一性原理计算,在仅考虑三声子相互作用下,得到了Cu2GeSe3的室温晶格热导率为4.5 W/mK(Shao et al. Europhys. Lett. 2016, 115, 26002)。进一步分析发现,与大多数材料类似,Cu2GeSe3中低频声学支对晶格热导率的贡献超过90%,由于其具有较大的声子平均自由程,预测纳米化将会大幅降低其热导率。
尽管有了这些实验和理论研究结果,但是还未能展现Cu2GeSe3材料中热输运的全貌。首先,Cho等人发现Cu2GeSe3在室温下,热导率仅为1.9 W/mK,这个数值远低于上述理论计算值(4.5 W/mK);其次,在Cho等人的工作中,热导率随温度的变化趋势,若用a/Tb函数拟合,其趋势约为1/T1.28(Cho et al. Phys. Rev. B, 2011, 84, 085207),近期又有三个不同课题组的实验工作,研究发现热导率随温度变化趋势分别为1/T1.12(Wang et al. J. Alloys Compd. 2018, 769, 218)、1/T1.40(Yang et al. J. Eur. Ceram. Soc. 2021, 41, 3473)、以及1/T1.21(ACS Appl. Mater. Interfaces 2022, 14, 20972)。从理论上来说,若只考虑三声子相互作用,热导率随温度变化趋势会是1/T,实验结果呈现的物理规律,暗示着仅考虑三声子是不够的。另外自旋轨道耦合效应如何影响Cu2GeSe3的声子输运也是一个待解之谜。
为解答上述问题,近期黑料网 邵和助课题组从理论上系统地探讨了自旋轨道耦合、四声子相互作用、声子波动性相干传输、温度对声子及其相互作用地重整化、以及热膨胀等对Cu2GeSe3声子输运的影响机理。主要发现有:
1)自旋轨道耦合对Cu2GeSe3声子频率几乎没有影响,但使频率相关的Grüneisen常数整体往正数方向移动,这种移动却弱化了低频声子的散射强度,因为散射率与Grüneisen常数的平方成正比,而低频的Grüneisen常数大多为负值,从而导致热导率稍稍变大。

图1. 自旋轨道耦合对Cu2GeSe3声子输运的影响
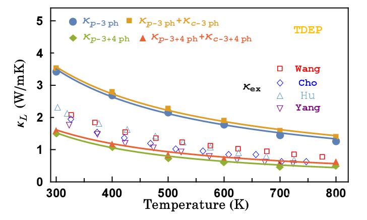
2)不考虑温度效应下,Cu2GeSe3材料具有很强的四声子相互作用,这种四声子相互作用使计算值大为降低,与仅考虑三声子相互作用结果比较,在室温下,热导率降低了53%,热导率与温度依赖关系呈现1/T1.7关系,若将声子波动性相干传输对热导率的贡献也考虑进来,计算得到的热导率数值也远低于实验值。

图2. 考虑三声子和四声子散射对Cu2GeSe3声子输运的影响
3)考虑温度对声子及其相互作用后,发现热导率的计算值与实验结果,不仅在数值上,以及热导率随温度的依赖关系上,都能很好地相符。

图3. 考虑温度对声子及其相互作用重整对Cu2GeSe3声子输运的影响
4)考虑热膨胀效应后,热导率数值又有些许程度地降低,但仍与实验结果较为相符

图4. 进一步考虑热膨胀效应对Cu2GeSe3声子输运的影响
在该工作中,作者还深入分析了导致上述结果的物理机理,发展了相应计算工具,可为其他材料体系声子输运研究提供有益的参考,该工作近期以 Phonon transport in Cu2GeSe3: Effects of spin-orbit coupling and higher-order phonon-phonon scattering为题发表于国际期刊《Phys. Rev. B》(//doi.org/10.1103/PhysRevB.107.085202)。黑料网 邵和助副研究员,复旦大学张浩副教授为共同通讯作者,黑料网 董长昆教授对该工作给予大力支持,黑料网 为第一通讯单位。邵和助博士感谢中国科学院宁波材料技术与工程研究所蒋俊、刘国强、谈小建等三位研究员对该工作的有益讨论,邵和助博士对美国北卡罗莱纳州立大学Jun Liu教授和Jixiong He博士在相关计算方法上的有益讨论表示衷心的感谢。该工作也得到了国家自然科学基金(52272006, 11404348)、浙江省自然科学基金(LY22A040001)、温州市自然科学基金(G20210016)、宁波市2025重大科技专项(2020Z054)、以及上海市自然科学基金(19ZR1402900)部分经费支持。
邵和助博士2019年6月至今任职于黑料网 。先后承担国家自然科学基金青年基金、浙江省自然科学基金、宁波市自然科学基金,温州市自然科学基金等课题。以(共同)第一/通讯作者在Nature Commun.、Acs Nano、Phys. Rev. B、Mater. Today Phys.、J. Phys. Chem. Lett.等期刊发表SCI论文20余篇,担任Chemical Reviews、Chemical Science、Nano Energy、J. Mater. Chem. A(C)等期刊审稿人。